Laplace Dönüşümü

Chen

🇵🇸
Forum Sorumlusu
Katılım
9 Ocak 2020
Mesajlar
48,682
Çözümler
4
Tepki puanı
15,253
Puanları
113
Konum
.
Cinsiyet
Kadın
laplace-d%C3%B6n%C3%BC%C5%9F%C3%BCm%C3%BC_33777.png


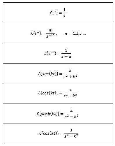
Matematikte diferansiyel denklemleri çözmekte ve olasılık teorisinde mühendislik alanında zamandan bağımsız doğrusal sistemleri modellemekte kullanılan bir dönüşümdür. Genel anlamda bir fonksiyonun tanım kümesini zamandan frekansa çevirir. Zaman tanım kümesinde çözmesi zor olan differensiyal denklemler frekans tanım kümesinde daha basit cebirsel denklemlere dönüştüğünden diferansiyel denklemleri çözmekte kullanılırlar. Söz konusu method kolay çözüm avantajına karşın ters Laplace dönüşümünün zorluğu ile dengelenir. Laplace dönüşümünün frekans karakterlerini net bir şekilde göstermesinden dolayı sinyal işlemede kullanılır.

transformada-de-laplace-definicin-historia-para-qu-sirve-propiedades_9.jpg
 
Üst Alt